Что, и ответ Эйнштейна не подходит? Я же даже для особо одарённых выделил места в цитате, отвечающие на вопрос. Хотите оспорить? Скорее всего, из лужи
. Потому и ругаетесь матерно... Так что "Слиф зощитан"... 
Факт налицо: ты не в состоянии описать словами своих же формул...
Что тогда говорить про эйнштейновские...
Забиваю гвоздь в твой череп (затёсывание колов тебе не помогает):
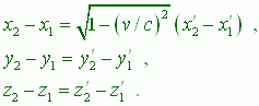
Берём по Эйнштейну...
Есть неподвижная ИСО S и есть подвижная ИСО S`; есть отрезок в S длиной L и есть отрезок в S` длиной L`;
Между длинами этих отрезков существует соотношение: \(L=\gamma L`\);
здесь: L есть длина отрезка в S`, видимая из S (искажённая релят. эфф.);
L` есть собственная длина отрезка в S`;
\(\gamma \) - Лоренц-фактор;
Ты, как знаток алгебры, пишешь: \(L`=\frac{L}{\gamma }\); т.е., делаешь обратное преобразование; т.е., отвечаешь на вопрос: как наблюдатель из S узнаёт собственную длину стержня в S`? А очень просто: он видимую длину делит на Лоренц-фактор...
(прямые/обратные - чисто условно)Теперь запишем алаверды от наблюдателя из S`, т.е., что он видит, глядя на S?
А видит он вот это: \(L`=\gamma L\);
здесь: L` есть длина отрезка в S, видимая из S`(искаженная...);
L есть собственная длина отрезка в S;
\(\gamma \) - Лоренц-фактор;
Теперь сравним:
здесь: L есть длина отрезка в S`, видимая из S (искажённая релят. эфф.);
L` есть собственная длина отрезка в S`;
\(\gamma \) - Лоренц-фактор;
и
здесь: L` есть длина отрезка в S, видимая из S`(искаженная...);
L есть собственная длина отрезка в S;
\(\gamma \) - Лоренц-фактор;
Найди четыре отличия и ответь на вопрос: это система уравнений?