Большой Форум
Добро пожаловать,
Гость
. Пожалуйста,
войдите
или
зарегистрируйтесь
.
Не получили
письмо с кодом активации
?
1 час
1 день
1 неделя
1 месяц
Навсегда
Иностранный агент иностранного агента
Чем ближе крах империи, тем безумнее её законы…(Цицерон)
В теме
В разделе
По форуму
Google
Bing
Новости:
США начинают нападение на народ Венесуэлы.
Начало
Форум
Энциклопедия БФ
Блоги
Показать все блоги
Помощь
TinyPortal
Шахматы
Календарь
Ссылки
Вход
Регистрация
Запрещёнка
Большой Форум
»
Forum
»
Главный зал
»
Наука, техника, технология
»
Физика и Математика
(Модератор:
Иван Горин
) »
Стрельба на карусели.Задача Иссена
« предыдущая тема
следующая тема »
Печать
Страницы: [
1
]
Вниз
Автор
Тема: Стрельба на карусели.Задача Иссена (Прочитано 934 раз)
0 Пользователей и 1 Гость просматривают эту тему.
Ost
Местный мудрец
Сообщений: 2545
Страна:
Рейтинг: +289/-29
Стрельба на карусели.Задача Иссена
«
:
15 Апрель 2020, 19:22:21 »
Записан
+1/-0 к карме за данное сообщение
Большой Форум
Стрельба на карусели.Задача Иссена
«
:
15 Апрель 2020, 19:22:21 »
Загрузка...
Ost
Местный мудрец
Сообщений: 2545
Страна:
Рейтинг: +289/-29
Re: Стрельба на карусели.Задача Иссена
«
Ответ #1 :
09 Август 2021, 16:33:57 »
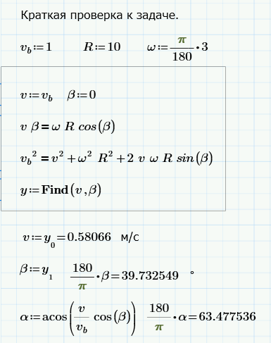
...
Записан
Большой Форум
Re: Стрельба на карусели.Задача Иссена
«
Ответ #1 :
09 Август 2021, 16:33:57 »
Loading...
Печать
Страницы: [
1
]
Вверх
« предыдущая тема
следующая тема »
Большой Форум
»
Forum
»
Главный зал
»
Наука, техника, технология
»
Физика и Математика
(Модератор:
Иван Горин
) »
Стрельба на карусели.Задача Иссена