Бокланопостит

 

Бергсон

16 Январь 2026, 10:01:12
Ночью обнаружены 106 БПЛА: в Рязани и Воронеже есть повреждения и пострадавшие.   KvHAW Это все строго по хитрому плану гениального руководителя! ./.
 

Бергсон

15 Январь 2026, 09:25:00
Евросоюз снижает потолок цен на российскую нефть до $44,1 за баррель. KvHAW 1500 дней, как Сецобсерация идет по плану...  ./.
 

Бергсон

15 Январь 2026, 09:24:29
Ростовская область вновь стала основной целью для беспилотников ВСУ. KvHAW Путин опять всех переиграл! ./.
 

Бергсон

14 Январь 2026, 11:03:29
К четвертой годовщине начала РФ войны готовится 20-й пакет антироссийских санкций.   KvHAW Это все строго по хитрому плану гениального руководителя! ./.
 

Бергсон

14 Январь 2026, 11:03:02

    Добыча нефти. Цена российской нефти в ноябре и декабре оказалась на $20 ниже заложенной в бюджет. KvHAW 1500 дней, как Сецобсерация идет по плану...  ./.
 

Бергсон

14 Январь 2026, 09:25:44
В Ростове и Буденновске тушат пожары после атаки украинских беспилотников. KvHAW Путин опять всех переиграл! ./.
 

Бергсон

13 Январь 2026, 11:08:56
Удачно пострадало ООО "Атлант АЭРО" в Таганроге. Там производят БПЛА.   KvHAW Это все строго по хитрому плану гениального руководителя! ./.
 

Бергсон

13 Январь 2026, 11:08:23
Пострадал и авиационный завод Бериева. Еще раз атакована ТЭЦ в Орле. KvHAW 1500 дней, как Сецобсерация идет по плану...  ./.
 

Бергсон

13 Январь 2026, 11:07:46
Мощные взрывы прозвучали в районе аэродрома "Бельбек". Обесточен оккупированный Мариуполь. KvHAW Путин опять всех переиграл! ./.
 

Бергсон

10 Январь 2026, 11:21:26
После атаки БПЛА горит нефтебаза в Волгоградской области, закрывали шесть аэропортов.   KvHAW Это все строго по хитрому плану гениального руководителя! ./.
 

Болгарин

09 Январь 2026, 09:04:26
Идиот Трамп будет раздавать дешёвую нефть.
А CO2 опять будет собираться в Сибири.
  g^-
 

privet

09 Январь 2026, 07:01:22
.......

Брехсон и США -окрысились на Кубу.
 

Бергсон

08 Январь 2026, 13:21:24
Трамп дал "зеленый свет" вторичным санкциям за покупку нефти и газа у РФ. KvHAW 1000 дней, как Сецобсерация идет по плану...  ./.
 

Бергсон

08 Январь 2026, 13:20:41
Великобритания начала передачу Украине 30 систем ПВО. KvHAW Путин опять всех переиграл! ./.
 

Бергсон

07 Январь 2026, 17:56:39
Ночью обнаружены 32 украинских БПЛА: из-за взрывов на арсенале для жителей Неи открыт ВПР.   KvHAW Это все строго по хитрому плану гениального руководителя! ./.
 

Бергсон

07 Январь 2026, 16:25:30
В плешь русского диктатора вколочен еще один гвоздь.
На шее затянут еще один виток удавки.
Удушение россии ведется неспешно, но очень грамотно.  /("@!
 

Бергсон

07 Январь 2026, 12:23:32
Две крупные российские нефтебазы загорелись 6 января после атак украинских БПЛА. KvHAW 1000 дней, как Сецобсерация идет по плану...
 

Бергсон

06 Январь 2026, 18:33:48
Атака украинских БПЛА привела к взрывам на ракетно-артиллерийском арсенале в Нее. KvHAW Путин опять всех переиграл! ./.
 

Бергсон

05 Январь 2026, 14:25:36
В липецком Ельце после атаки беспилотников горел оборонный завод "Энергия".   KvHAW Это все строго по хитрому плану гениального руководителя! ./.
 

Бергсон

05 Январь 2026, 14:24:49
Направленной на Киев баллистикой Россия ударила по больнице: есть погибший и раненые. KvHAW 1000 дней, как Сецобсерация идет по плану... 
 

Бергсон

02 Январь 2026, 12:33:08
Россия за 2025 года захватила менее 1% территории Украины потеряв при этом миллион человек. KvHAW Путин опять всех переиграл! ./.
 

Бергсон

02 Январь 2026, 11:57:28
…ждём – не дождёмся… g^-
 

privet

02 Январь 2026, 07:25:40
......

Брехсон - сдохнет.

Скоро!
 

Бергсон

31 Декабрь 2025, 20:39:53
Всем нам увидеть в новом году Путина в гробу!    -=*=-     
 

Бергсон

31 Декабрь 2025, 10:52:47
В Краснодарском крае горел НПЗ в Туапсе, поврежден причал, встали скорые поезда.   KvHAW Это все строго по хитрому плану гениального руководителя! ./.
 

Бергсон

31 Декабрь 2025, 10:52:14
Под Москвой и Калугой поздно вечером были взрывы. KvHAW 1000 дней, как Сецобсерация идет по плану...  ./.
 

Бергсон

27 Декабрь 2025, 17:46:44
США отказали России в возобновлении прямого авиасообщения.  KvHAW Путин опять всех переиграл ./.
 

Бергсон

26 Декабрь 2025, 09:12:24
Волгоградцы заявили о страшной ночи из-за атаки беспилотников.   KvHAW Это все строго по хитрому плану гениального руководителя! ./.
 

Бергсон

25 Декабрь 2025, 09:37:34
Минобороны РФ за ночь обнаружило 141 БПЛА: в порту Темрюка горят нефтерезервуары. KvHAW 1000 дней, как Сецобсерация идет по плану...  ./.
 

Бергсон

24 Декабрь 2025, 09:55:59
Сегодня успешно поражен Ефремовский завод синтетического каучука в Тульская области.  KvHAW Путин опять всех переиграл ./.
 

Бергсон

24 Декабрь 2025, 09:50:47
На юге Москвы взорван автомобиль гестапо: трое погибших, в том числе сотрудники ДПС.   KvHAW Это все строго по хитрому плану гениального руководителя! ./.
 

Бергсон

23 Декабрь 2025, 09:08:03
В ставропольском Буденновске поражен нефтегазовый завод "Ставролен". KvHAW 1000 дней, как Сецобсерация идет по плану...  ./.
 

Болгарин

23 Декабрь 2025, 02:24:10
Оружие не кончится никогда:

 

Бергсон

22 Декабрь 2025, 10:51:41
Во взорванном авто в Москве погиб генерал оперативного управления Генштаба Сарваров.  KvHAW Путин опять всех переиграл ./.
 

Бергсон

22 Декабрь 2025, 08:36:44
На Тамани БПЛА повредили два причала, трубопровод и два судна, - танкеры.   KvHAW Это все строго по хитрому плану гениального руководителя! ./.
 

Бергсон

21 Декабрь 2025, 11:11:32
Пригород Курска был обесточен после атаки беспилотников. KvHAW 1000 дней, как Сецобсерация идет по плану...  ./.
 

Бергсон

20 Декабрь 2025, 14:22:18
Удары украинских БПЛА стали постоянными в аннексированном Крыму, Воронеже и Белгороде.   KvHAW Это все строго по хитрому плану гениального руководителя! ./.
 

Бергсон

19 Декабрь 2025, 12:29:08
В Самарской области после атак БПЛА горит химический гигант – "Тольяттиазот".   KvHAW Это все строго по хитрому плану гениального руководителя! ./.
 

Бергсон

19 Декабрь 2025, 08:03:05
В Средиземном море Силами Обороны Украины был атакован танкер теневого флота россии.
На корабле находились оф. лица
 

Бергсон

19 Декабрь 2025, 08:02:51
из правительства РФ, а также ГРУ РФ (ГУ ГШ), ответственные за шпионаж дронами в Евроопе, саботаж и обход санкций. Ранено 7 и двое ликвидировано!  KvHAW
 

Бергсон

19 Декабрь 2025, 07:58:51
Госдума за неделю приняла закон об освобождении депутатов и чиновников от сдачи деклараций 1000 дней, как Сецобсерация идет по плану...  ./.
 

Бергсон

18 Декабрь 2025, 07:47:49
В порту Ростова украинский БПЛА поразил танкер с нефтью: в регионе есть погибшие и раненые.   KvHAW Это все строго по хитрому плану гениального руководителя!
 

Бергсон

17 Декабрь 2025, 09:38:25
Обязательства по оборонной поддержке Украины в 2026 году взяли на себя 15 стран.  KvHAW Путин опять всех переиграл ./.
 

Бергсон

17 Декабрь 2025, 09:01:07
Основной ночной удар дронов пришелся на Краснодарский край. KvHAW 1000 дней, как Сецобсерация идет по плану...  ./.
 

Бергсон

16 Декабрь 2025, 09:27:41
Главы МИД стран ЕС одобрили 20-й пакет антироссийских санкций: в нем актив "Валдая".   KvHAW Это все строго по хитрому плану гениального руководителя! ./.
 

Бергсон

16 Декабрь 2025, 08:46:31
Брянская область опять стала плацдармом для атак ВСУ.  KvHAW Путин опять всех переиграл ./.
 

Бергсон

15 Декабрь 2025, 09:44:33
Ночью над Россией обнаружили 130 БПЛА, из них 15 летели на Москву. KvHAW 1000 дней, как Сецобсерация идет по плану...  ./.
 

Бергсон

14 Декабрь 2025, 11:14:45
За ночь обнаружили 235 БПЛА: стоят поезда, горят НПЗ и нефтебазы.   KvHAW Это все строго по хитрому плану гениального руководителя! ./.
 

Бергсон

13 Декабрь 2025, 16:01:29
В Орске загорелся завод – изготовитель корпусов для снарядов.  KvHAW Путин опять всех переиграл ./.
 

Бергсон

13 Декабрь 2025, 16:00:43
Ночная атака ВСУ была сосредоточена на Саратовской области, вероятно, на НПЗ. KvHAW 1000 дней, как Сецобсерация идет по плану.../.
 

privet

13 Декабрь 2025, 05:23:38
.......
Жид дурак Брехсон - друг Запада.
 

Бергсон

12 Декабрь 2025, 16:37:28
Послы стран ЕС утвердили бессрочную заморозку активов РФ.   KvHAW Это все строго по хитрому плану гениального руководителя! ./.
 

Бергсон

12 Декабрь 2025, 09:12:36
Ночью над РФ обнаружили 90 БПЛА, в Твери есть раненые, эвакуированы жители многоэтажки.  KvHAW Путин опять всех переиграл ./.
 

Бергсон

11 Декабрь 2025, 11:06:55
Долги россиян по кредитам достигли 38,3 трлн рублей. KvHAW 1000 дней, как Сецобсерация идет по плану...  ./.
 

Бергсон

11 Декабрь 2025, 08:56:15
ВСУ направили на Россию около 300 БПЛА, на Москву летели более 30.   KvHAW Это все строго по хитрому плану гениального руководителя! ./.
 

Бергсон

11 Декабрь 2025, 08:46:23
Смерть фашиста всегда праздник!
 

privet

10 Декабрь 2025, 09:28:53
.......
Жид Брехсон -рад авиакатастрофе в РФ.
 

Бергсон

10 Декабрь 2025, 09:19:49
При плановом облете после ремонта развалился самолет "Антей": погибли семь человек.  KvHAW Путин опять всех переиграл ./.
 

Бергсон

10 Декабрь 2025, 08:54:59
Беспилотники активно атакуют Москву со вчерашнего дня. KvHAW 1000 дней, как Сецобсерация идет по плану...  ./.
 

Бергсон

09 Декабрь 2025, 13:28:41
В сентябре 2025 года Владимир Путин отменил запрет на пытки и истязания. Это все строго по хитрому плану гениального руководителя!  ./.
 

Бергсон

09 Декабрь 2025, 09:04:00
Силы ПВО обнаружили 121 БПЛА, а необнаруженные дроны нанесли удар по Чебоксарам. KvHAW 1000 дней, как Сецобсерация идет по плану...  ./.
 

Бергсон

08 Декабрь 2025, 11:23:43
Возле ТЭЦ в Красноярске четыре часа бушевал пожар после взрывов.   KvHAW Это все строго по хитрому плану гениального руководителя! ./.
 

Бергсон

07 Декабрь 2025, 12:16:57
Повреждение стартового комплекса на Байконуре остановило запуски на МКС".  KvHAW Путин опять всех переиграл ./.
 

Бергсон

07 Декабрь 2025, 12:13:48
Целью ночной атаки ВСУ была Саратовская область с ее НПЗ и военным аэродромом. KvHAW 1000 дней, как Сецобсерация идет по плану...  ./.
 

Бергсон

06 Декабрь 2025, 17:37:26
После атак БПЛА в Темрюке второй день тушат пожар в порту, а в Рязани поражен НПЗ.   KvHAW Это все строго по хитрому плану гениального руководителя! ./.
 

Бергсон

06 Декабрь 2025, 12:09:37
Основной ночной удар ВСУ пришелся на Рязань: возможно применение дрона "Лютый".  KvHAW Путин опять всех переиграл ./.
 

Бергсон

06 Декабрь 2025, 12:08:52
Пострадавший танкер из теневого флота России терпит бедствие у берегов Болгарии. KvHAW 1000 дней, как Сецобсерация идет по плану...  ./.
 

privet

06 Декабрь 2025, 08:09:16
.......

Жид Брехсон= шиз.
 

Бергсон

05 Декабрь 2025, 17:20:42
Вот так выглядит сознание антикоммуниста privetа, поедаемого червями своей психопатологии.  ./.
 

privet

05 Декабрь 2025, 14:00:12
.......

Жид Брехсон - доказывает "изобилие" СССРа - кадрами МСФИЛЬМА :)
 

Бергсон

05 Декабрь 2025, 12:07:42
В результате ночной атаки ВСУ горит порт в Темрюке, закрывались десять аэропортов.   KvHAW Это все строго по хитрому плану гениального руководителя! ./.
 

Бергсон

05 Декабрь 2025, 12:07:05
Украинский беспилотник атаковал Грозный-Сити в центре города.  KvHAW Путин опять всех переиграл ./.
 

privet

04 Декабрь 2025, 07:55:44
......Жид Брехсон - вступил в ЕС.
 

Бергсон

03 Декабрь 2025, 09:59:43
Евросоюз полностью откажется от импорта российского газа в 2027 году. KvHAW 1000 дней, как Сецобсерация идет по плану.../.
 

Бергсон

02 Декабрь 2025, 14:01:46
Ночью беспилотники долетели до Чечни, были закрыты аэропорты юга России.   KvHAW Это все строго по хитрому плану гениального руководителя!

Mby

01 Декабрь 2025, 19:34:34
ЕБЛОВУ б врезать
по ЕБЛУ...
со всей любовью
братской..
видали гниду
мы в гробу...
блядь,  с этой
рожей,   гадской...

Mby

01 Декабрь 2025, 19:33:18
"привет" -  мудак
сказал Еблов!!
да так категорично..
ну да, ЕБЛОВУ
блядь, видней...
а  нам всем
символично...
 

Бергсон

01 Декабрь 2025, 11:12:00
ВСУ атаковали в Ленинградской области Киришский район, откуда производится запуск дронов.  KvHAW Путин опять всех переиграл ./.
 

privet

30 Ноябрь 2025, 15:48:24
.......
Больной жид Брехсон-требует убивать русских.
 

Бергсон

30 Ноябрь 2025, 13:28:20
В ростовском Гуково БПЛА повредили котельную, в Славянске-на-Кубани — трубопровод НПЗ. KvHAW 1000 дней, как Сецобсерация идет по плану...  ./.
 

Бергсон

30 Ноябрь 2025, 13:25:43
Атака морских дронов полностью остановила отгрузку нефти через терминал в Новороссийске.   KvHAW Это все строго по хитрому плану гениального руководителя!
 

Бергсон

29 Ноябрь 2025, 11:00:39
Два танкера из антироссийского санкционного списка горят в Черном море.  KvHAW Путин опять всех переиграл ./.
 

Бергсон

29 Ноябрь 2025, 10:59:43
В особой экономической зоне "Алабуга", где делают дроны, произошёл крупный пожар. KvHAW 1000 дней, как Сецобсерация идет по плану... ./.
 

Бергсон

29 Ноябрь 2025, 10:59:02
Из-за ударов ВСУ в Таганроге эвакуировано общежитие, под Краснодаром — сотрудники НПЗ.   KvHAW Это все строго по хитрому плану гениального руководителя! ./.
 

privet

29 Ноябрь 2025, 07:13:07
......Ура -МВФ! Ура Брехсону жиду! :)
 

Бергсон

28 Ноябрь 2025, 08:36:55
Международный валютный фонд принял решение о расширенном финансировании Украины.  KvHAW Путин опять всех переиграл ./.
 

Бергсон

27 Ноябрь 2025, 11:49:17
Организация Договора о коллективной безопасности (ОДКБ) сжалась до пяти стран. KvHAW 1000 дней, как Сецобсерация идет по плану... ./.   
 

privet

27 Ноябрь 2025, 01:34:48
.......
Больной жид Брехсон - за атаки на РФ.
 

Бергсон

26 Ноябрь 2025, 10:38:06
Столицу Чувашии ночью атаковали неучтенные дроны: есть пострадавшие, была эвакуация.   KvHAW Это все строго по хитрому плану гениального руководителя! ./.
 

Бергсон

25 Ноябрь 2025, 09:49:36
ПВО РФ обнаружило 249 БПЛА: есть погибшие, повреждения домов и попадание в авиазавод.  KvHAW Путин опять всех переиграл ./..
 

Бергсон

25 Ноябрь 2025, 08:46:27
Белгородская область вернулась в число самых атакуемых Украиной регионов. KvHAW 1000 дней, как Сецобсерация идет по плану...  ./.   
 

Бергсон

25 Ноябрь 2025, 08:46:01
Россия ночью продолжала удары по энергетике и жилым домам в Украине.  Это все строго по хитрому плану гениального руководителя! ./.
 

Бергсон

24 Ноябрь 2025, 11:00:01
При ночной атаке Россия убила четырех харьковчан, в Тернополе число погибших выросло .  KvHAW Путин опять всех переиграл ./.
 

Бергсон

24 Ноябрь 2025, 09:06:47
Белгородская область вернулась в число самых атакуемых Украиной регионов. KvHAW 1000 дней, как Сецобсерация идет по плану...  ./.   
 

Бергсон

23 Ноябрь 2025, 14:37:33
В Подмосковье на Шатурской ГРЭС начался пожар после атаки БПЛА.  Это все строго по хитрому плану гениального руководителя! ./.
 

Бергсон

22 Ноябрь 2025, 16:21:09
Три тысячи курян остались без света: регион отсутствует в отчете Минобороны.  KvHAW Путин опять всех переиграл./.
 

Бергсон

22 Ноябрь 2025, 16:16:40
Якутия приостановила выплаты участникам "СВО": деньги закончились. KvHAW 1000 дней, как Сецобсерация идет по плану...  ./.   
 

Бергсон

22 Ноябрь 2025, 16:16:05
Турция ответно не пустила в порт Стамбула круизный лайнер из Сочи.  Это все строго по хитрому плану гениального руководителя! ./.
 

Бергсон

21 Ноябрь 2025, 08:52:30
На Урале горел состав с газоконденсатом: встали поезда, повреждена контактная сеть.  KvHAW Путин опять всех переиграл.  ./.
 

Бергсон

21 Ноябрь 2025, 07:47:07
Нефтегазовые регионы перестали быть донорами казны РФ: их бюджет стал дефицитным.  KvHAW Путин опять всех переиграл.  ./.

Энциклопедия БФ

Автор Тема: Несколько строк о понятии "поле" в физике  (Прочитано 2956 раз)

0 Пользователей и 1 Гость просматривают эту тему.

Оффлайн VPD

  • Местный мудрец
  • *****
  • Сообщений: 10661
  • Страна: by
  • Рейтинг: +382/-729
  • Пол: Мужской
  • Василий Петрович Дорошев
    • Дорошев
Re: Несколько строк о понятии "поле" в физике
« Ответ #120 : 26 Март 2024, 16:57:50 »
  На моей теме столько чепухи "мелется" всеми, что не стану в её  (чепуху) тыкать каждому по отдельности. Вот общее незнание.
  По-моему - все участники попросту не освоили школьного правила сложения скоростей.
  А оно таково (для плоского равномерного движения):
  Скорость тела   относительно движущейся системы отсчёта складывается  векторно со скоростью движущейся системы, измеренной относительно неподвижной.
   То есть, скорость тела складывается со скоростью переносящей её системы.
   Это хорошо известное правило для переносного движения. Типа движения лодки в воде.
  Других правил и теорем сложения  скоростей движения - нет. (Не считая добавление скорости вращения, если  вращается  переносящая  система отсчёта).
   Применим это правило для  сложении скоростей двух, двигающихся встречно, автомобилей со скоростью V относительно дороги.
   Здесь:
   - неподвижная система отсчёта - дорога;
   - подвижная система отсчёта - один из автомобилей;
   - движущееся тело  - другой автомобиль.
    Однако, как сложить скорости, если неизвестна одна из составляющих - скорость второго автомобиля относительно первого?
  Такой скорости в условиях нет.
  Её никто не измерял, но её  неучи позарез  хотят найти. Просто так,  без всяких правил, в виде алгебраической суммы.
   А не фигня ли сие действо, ребятушки- козлятушки?
   Нет в  задаче про два встречных автомобиля  переносного движения!
   Подтверждением  моего вывода о физической несостоятельности  суммирования скоростей двух автомобилей является опыт.
   Кинетическая энергия, приходящаяся на каждый автомобиль,  как при лобовом столкновении, так  и при ударе в неподвижную стенку, одинаковы! УПС!
   Более того, есть измерения равенства этой энергии. Смотрите одну из  передач "разрушителей мифов".
  Так, что ребятушки-козлятушки не нужно писать здесь всякую ерундистику.
  Но,  движущийся источник света и свет от него находятся в отношениях переносного движения и там теорему сложения скоростей применять можно.
   Только формула применяется  - релятивистская  и больше С - хрен получить...
 
« Последнее редактирование: 26 Март 2024, 16:59:36 от VPD »

Большой Форум

Re: Несколько строк о понятии "поле" в физике
« Ответ #120 : 26 Март 2024, 16:57:50 »
Загрузка...

Оффлайн Иван Горемыкин

  • Местный мудрец
  • *****
  • Сообщений: 10522
  • Страна: ru
  • Рейтинг: +15/-30
  • Пришедший с мечом - от меча погибнет!
Re: Несколько строк о понятии "поле" в физике
« Ответ #121 : 26 Март 2024, 17:21:08 »
То есть, скорость тела складывается со скоростью переносящей её системы.
А если у системы нет скорости, то как тогда?
Думать - это самое лёгкое и приятное из всего на Свете.
           
Цирк уехал, а клоуны - остались!

Я всячески буду отстаивать своё мнение,
даже если оно миллион раз неверное,
но оно
                    МОЁ!

Оффлайн Иван Горемыкин

  • Местный мудрец
  • *****
  • Сообщений: 10522
  • Страна: ru
  • Рейтинг: +15/-30
  • Пришедший с мечом - от меча погибнет!
Re: Несколько строк о понятии "поле" в физике
« Ответ #122 : 26 Март 2024, 17:24:00 »
Смотрите одну из  передач "разрушителей мифов".
Эти передачи для саморекламы, а не для "разрушения мифов", ЗАПОМНИ!




https://youtu.be/jirh3s0d2s0
« Последнее редактирование: 26 Март 2024, 17:32:44 от Иван Горемыкин »
Думать - это самое лёгкое и приятное из всего на Свете.
           
Цирк уехал, а клоуны - остались!

Я всячески буду отстаивать своё мнение,
даже если оно миллион раз неверное,
но оно
                    МОЁ!

Оффлайн

  • Местный мудрец
  • *****
  • Сообщений: 7275
  • Страна: aq
  • Рейтинг: +399/-228
Re: Несколько строк о понятии "поле" в физике
« Ответ #123 : 26 Март 2024, 23:24:57 »
Её никто не измерял

Может потому, что скорости не измеряют, а вычисляют?!

    Однако, как сложить скорости, если неизвестна одна из составляющих - скорость второго автомобиля относительно первого?
  Такой скорости в условиях нет.
  Её никто не измерял, но её  неучи позарез  хотят найти. Просто так,  без всяких правил, в виде алгебраической суммы.

Гаишный радар даже не догадывается о существовании таких проблем, и, легко определяет скорость несущегося на него автомобиля
 :)
  Но,  движущийся источник света и свет от него находятся в отношениях переносного движения и там теорему сложения скоростей применять можно.
   Только формула применяется  - релятивистская  и больше С - хрен получить...

Дык, это релявы взяли на себя обязательство молиться на С как на инвариант - им с этим и тупить до скончания СТО

Нормальные люди себя таким примитивом не ограничивают
А потому, после соответствующих измерений, вычисляют, как скорость распространения световых волн в различных средах, так и скорости движения фронтов световых волн в различных СО
И, получают результаты, от которых правоверных релявов неподецки корёжит
 :)

Оффлайн VPD

  • Местный мудрец
  • *****
  • Сообщений: 10661
  • Страна: by
  • Рейтинг: +382/-729
  • Пол: Мужской
  • Василий Петрович Дорошев
    • Дорошев
Re: Несколько строк о понятии "поле" в физике
« Ответ #124 : 27 Март 2024, 13:42:37 »
  Суждения трёхчёрточника и блохишки дегратируют  с каждым новым постом на моей теме.
  На этот раз они "хором" опровергают закон сохранения энергии.
  Считаем.
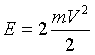
   Суммарная кинетическая энергия двух автомобилей, едущих навстречу друг другу со скоростью V относительно дороги, составляет
E = 2mV2/2
    Величина E совпадает с опытным значением энергии, выделяемой при лобовом столкновении этих автомобилей.  По данным крэш теста
https://youtu.be/jirh3s0d2s0 двух автомобилей массой по 1500 кг ускорение составило в среднем 55g , а смятие  0,4 м, при скорости 80 км/ч = 22, м/с. Что  соответствует работе на каждый автомобиль А1 = 330000 Дж, а кинетическая энергия E1 = 369600 Дж. Отличное совпадение, если учесть, что небольшая часть в 40000 Дж ушла на разогрев.
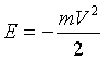
   Энергия Eн1 любого из автомобилей для системы отсчёта скорости, относительно друг друга по  правилу неучей V + V = 2V
  даёт 
Eн1 = m(2V)2/2 = 2E,
    что в 2 раза большую энергию, чем в опыте.
  Вывод. Суммировать скорости независимых объектов (не участвующих в переносном движении) по правилу неучей V + V = 2V  - нельзя!
« Последнее редактирование: 27 Март 2024, 13:56:58 от VPD »

Оффлайн VPD

  • Местный мудрец
  • *****
  • Сообщений: 10661
  • Страна: by
  • Рейтинг: +382/-729
  • Пол: Мужской
  • Василий Петрович Дорошев
    • Дорошев
Re: Несколько строк о понятии "поле" в физике
« Ответ #125 : 27 Март 2024, 15:50:59 »
(")
Пuздец!
ВПД опять  пробил собственный рекорд тупости и безграмотности.. (")
Ошибся во всем..
Как всегда..
"Опроверг" ЗСИ и ЗСЭ одновременно и наворотил гору  невероятной галиматьи..?
Мне нужно объяснять, где? ,G
  Посты, в которых нет ничего, кроме откровенной злобы, зависти и лжи ничего нет - буду удалять.

Оффлайн Иван Горемыкин

  • Местный мудрец
  • *****
  • Сообщений: 10522
  • Страна: ru
  • Рейтинг: +15/-30
  • Пришедший с мечом - от меча погибнет!
Re: Несколько строк о понятии "поле" в физике
« Ответ #126 : 27 Март 2024, 16:00:02 »
Суммарная кинетическая энергия двух автомобилей, едущих навстречу друг другу
А давай прежде с одним автомобилем разберемся.

Для одного автомобиля переносимая им энергия равна


Если другая машина стоит рядом, то ее энергия тоже будет



а в сумме -



Но если машина сталкивается со стеной, машина передает стене


столько энергии, а стена в ответ передает машине столько же энергии, только в обратном направлении





В результате энергия машины передалась стене, а энергия стены - машине, машина подпрыгнула и успокоилась и остался НОЛЬ.


Теперь когда две машины ударяются лоб в лоб, картина та же самая.
Обе машины ОБМЕНИВАЮТСЯ энергиями, подпрыгивают и остаются на месте, израсходовав всю энергию.


Сложение энергий  -  ровно нулю, как и сложение скоростей, в данном конкретном случае, домыслы и фантазии необразованного человека.




А вот так энергии складываются, а скорости - НЕТ!





« Последнее редактирование: 27 Март 2024, 16:48:34 от Иван Горемыкин »
Думать - это самое лёгкое и приятное из всего на Свете.
           
Цирк уехал, а клоуны - остались!

Я всячески буду отстаивать своё мнение,
даже если оно миллион раз неверное,
но оно
                    МОЁ!

Оффлайн VPD

  • Местный мудрец
  • *****
  • Сообщений: 10661
  • Страна: by
  • Рейтинг: +382/-729
  • Пол: Мужской
  • Василий Петрович Дорошев
    • Дорошев
Re: Несколько строк о понятии "поле" в физике
« Ответ #127 : 27 Март 2024, 16:32:10 »
  Посты --- удалил, поскольку кроме нецензурщины и хамства в них ничего не содержится.

Оффлайн VPD

  • Местный мудрец
  • *****
  • Сообщений: 10661
  • Страна: by
  • Рейтинг: +382/-729
  • Пол: Мужской
  • Василий Петрович Дорошев
    • Дорошев
Re: Несколько строк о понятии "поле" в физике
« Ответ #128 : 27 Март 2024, 16:44:35 »
   Опыт, который провели "разоблачители мифов" ,  достаточно хорошо совпадает с расчётом http://bolshoyforum.com/forum/index.php?topic=620059.msg10515943#msg10515943.
  Если кто то сомневается в  достоверности опыта, то его  можно  опровергнуть (или подтвердить) только другим опытом. Причём проверочный  опыт можно выполнить и намного мене затратным образом. 

Оффлайн Иван Горемыкин

  • Местный мудрец
  • *****
  • Сообщений: 10522
  • Страна: ru
  • Рейтинг: +15/-30
  • Пришедший с мечом - от меча погибнет!
Re: Несколько строк о понятии "поле" в физике
« Ответ #129 : 27 Март 2024, 16:50:39 »
 Опыт, который провели "разоблачители мифов" ,  достаточно хорошо совпадает с расчётом
Прежде создается теория, потом ставят эксперимент и только потом делают расчеты.
Думать - это самое лёгкое и приятное из всего на Свете.
           
Цирк уехал, а клоуны - остались!

Я всячески буду отстаивать своё мнение,
даже если оно миллион раз неверное,
но оно
                    МОЁ!

Оффлайн VPD

  • Местный мудрец
  • *****
  • Сообщений: 10661
  • Страна: by
  • Рейтинг: +382/-729
  • Пол: Мужской
  • Василий Петрович Дорошев
    • Дорошев
Re: Несколько строк о понятии "поле" в физике
« Ответ #130 : 28 Март 2024, 01:25:49 »
  Для не понявших моё объяснение предлагаю сделать   «краш тест на столе», где вместо авто – пластилиновые шарики, вместо трассы – гладкие желоба, а вместо бетонной стенки – лист железа. Опыт, настолько прост, что его несложно «сделать» мысленно.
  По двум наклонным  желобам,  направленных друг к  другу, с приподнятого на высоту h края будем скатывать два неупругих шарика (например, пластилиновых) массой m и   диаметром D до столкновения с преградой или друг с другом.
  Очевидно, что максимальная скорость шариков в точке столкновения   будет всегда одна
V = sqwer(2mh).
    1. Внизу желобов установим жёсткую преграду и скатываем шарик с одного из желобов. После соударения с преградой, измеряем уменьшение диаметра шарика за счёт деформации dD1.
   2.Преграду  убираем и запускаем сверху одновременно  оба недеформированных шарика до их столкновения. Измеряем получившуюся деформацию dD2, естественно, одинаковую у обоих.
   Поскольку скорости шариков, при встрече со стенкой и друг с другом одинаковы (одинаковы массы и высота подъёма жёлоба) и шарики после столкновения останавливаются, то и без измерений ясно, что dD1 = dD2.
   Равенство деформаций шариков означает, что увеличение скорости шаров при встречном их движении является эффектом кажущимся и, поэтому,   скорости, независимо двигающихся навстречу тел, нельзя  складывать алгебраически. 

Оффлайн Иван Горемыкин

  • Местный мудрец
  • *****
  • Сообщений: 10522
  • Страна: ru
  • Рейтинг: +15/-30
  • Пришедший с мечом - от меча погибнет!
Re: Несколько строк о понятии "поле" в физике
« Ответ #131 : 28 Март 2024, 08:26:59 »
 Равенство деформаций шариков означает, что увеличение скорости шаров при встречном их движении является эффектом кажущимся и, поэтому,   скорости, независимо двигающихся навстречу тел, нельзя  складывать алгебраически. 
Деформация шариков будет АБСОЛЮТНО одинаковой и НЕ зависящей во что ударились шарики.
Скорости это числа, а складывать числа МОЖНО, но(!!!) только с указанием относительно чего ваша скорость.
Скорость авто 60км\ч. относительно дороги, а относительно водителя, руля, запасного колеса скорость автомобиля равна НУЛЮ!
Думать - это самое лёгкое и приятное из всего на Свете.
           
Цирк уехал, а клоуны - остались!

Я всячески буду отстаивать своё мнение,
даже если оно миллион раз неверное,
но оно
                    МОЁ!

Оффлайн VPD

  • Местный мудрец
  • *****
  • Сообщений: 10661
  • Страна: by
  • Рейтинг: +382/-729
  • Пол: Мужской
  • Василий Петрович Дорошев
    • Дорошев
Re: Несколько строк о понятии "поле" в физике
« Ответ #132 : 28 Март 2024, 10:09:12 »
...
Скорости это числа, а складывать числа МОЖНО, но(!!!) только с указанием относительно чего ваша скорость.
...
   Именно такое  понимание физики движения и приводит к тому, что перенос системы отсчёта с дороги на один из автомобилей при сохранении значения скорости, отсчитываемых относительно дороги, и приводит к волшебному "увеличению энергии" системы из двух автомобилей в 2 раза!
   Но "чудо добычи энергии" путем переноса точки отсчёта вдребезги разбивается в краш тесте.
   Сложение скоростей в физике - должно соответствовать физическим явлениям, а не интуиции обывателя или слепо следуя правилам арифметики.
   В школьной физике  учат единственному правилу сложения  скоростей - скорости складываются векторно, когда тела находятся в состоянии переносного  движения.
   Два независимо двигающихся автомобиля не начнут переносить движения друг друга от того, что вы мысленно перенесли точку отсчёта скорости.
  Физика - первична, а математика вступает потом, когда полностью ясен механизм движения.
   

Оффлайн Иван Горемыкин

  • Местный мудрец
  • *****
  • Сообщений: 10522
  • Страна: ru
  • Рейтинг: +15/-30
  • Пришедший с мечом - от меча погибнет!
Re: Несколько строк о понятии "поле" в физике
« Ответ #133 : 28 Март 2024, 11:53:47 »
 Именно такое  понимание физики движения и приводит к тому, что перенос системы отсчёта с дороги на один из автомобилей при сохранении значения скорости, отсчитываемых относительно дороги, и приводит к волшебному "увеличению энергии" системы из двух автомобилей в 2 раза!
А по простому, на рабоче-крестьянски вы можете перевести свои слова?
Думать - это самое лёгкое и приятное из всего на Свете.
           
Цирк уехал, а клоуны - остались!

Я всячески буду отстаивать своё мнение,
даже если оно миллион раз неверное,
но оно
                    МОЁ!

Оффлайн Иван Горемыкин

  • Местный мудрец
  • *****
  • Сообщений: 10522
  • Страна: ru
  • Рейтинг: +15/-30
  • Пришедший с мечом - от меча погибнет!
Re: Несколько строк о понятии "поле" в физике
« Ответ #134 : 28 Март 2024, 11:55:34 »
Сложение скоростей в физике
Мне почему-то думается, что вы недопонимает, что означает слово "скорость", отсюда и бред.
Думать - это самое лёгкое и приятное из всего на Свете.
           
Цирк уехал, а клоуны - остались!

Я всячески буду отстаивать своё мнение,
даже если оно миллион раз неверное,
но оно
                    МОЁ!

Оффлайн inj

  • Местный мудрец
  • *****
  • Сообщений: 11047
  • Страна: kz
  • Рейтинг: +4171/-1018
Re: Несколько строк о понятии "поле" в физике
« Ответ #135 : 28 Март 2024, 12:01:07 »
А давай прежде с одним автомобилем разберемся.

Для одного автомобиля переносимая им энергия равна


Если другая машина стоит рядом, то ее энергия тоже будет



а в сумме -

Шедеврально! Кинетическая энергия СТОЯЧЕЙ МАШИНЫ, у садовника, НЕ РАВНА НУЛЮ!!! +@- +@- +@- */8$ */8$ */8$

Цитировать
Но если машина сталкивается со стеной, машина передает стене


столько энергии, а стена в ответ передает машине столько же энергии, только в обратном направлении





В результате энергия машины передалась стене, а энергия стены - машине, машина подпрыгнула и успокоилась и остался НОЛЬ.

Тута больше похоже на то, что со стенкой столкнулся садовник и у него появилась отрицательна кинетическая энергия, это как? Как в этой формуле мог появицца минус, тока в результате удара головой о стенку. Если берёцца формула абсолютно упругого удара из Ньютоновской механики, так чего выхватывать куски, составляй уравнение импульса и энергии абсолютно упругого удара и решай!
Если это хотелки горемыкнувшего садовника , то ответ надо искать в остатках головы.
А куда исчезло движение (энергия и импульс0) Во что превратилсь?!



Цитировать
Теперь когда две машины ударяются лоб в лоб, картина та же самая.
Обе машины ОБМЕНИВАЮТСЯ энергиями, подпрыгивают и остаются на месте, израсходовав всю энергию.


Сложение энергий  -  ровно нулю, как и сложение скоростей, в данном конкретном случае, домыслы и фантазии необразованного человека.


[/size]

А вот так энергии складываются, а скорости - НЕТ!
Теперь я верю, што бандерлохи и море могли таким же способом выкопать
                                                  +@- +@- +@- */8$ */8$ */8$
Учение без размышления бесполезно, но и размышление без учения опасно. /Конфуций/
Лунный блеф NASA
Лунопедия

Оффлайн Иван Горемыкин

  • Местный мудрец
  • *****
  • Сообщений: 10522
  • Страна: ru
  • Рейтинг: +15/-30
  • Пришедший с мечом - от меча погибнет!
Re: Несколько строк о понятии "поле" в физике
« Ответ #136 : 28 Март 2024, 12:04:25 »
Пузырь, ткни меня носом, где я написал, что

Кинетическая энергия СТОЯЧЕЙ МАШИНЫ, у садовника, НЕ РАВНА НУЛЮ!!!
Думать - это самое лёгкое и приятное из всего на Свете.
           
Цирк уехал, а клоуны - остались!

Я всячески буду отстаивать своё мнение,
даже если оно миллион раз неверное,
но оно
                    МОЁ!

Оффлайн Иван Горемыкин

  • Местный мудрец
  • *****
  • Сообщений: 10522
  • Страна: ru
  • Рейтинг: +15/-30
  • Пришедший с мечом - от меча погибнет!
Re: Несколько строк о понятии "поле" в физике
« Ответ #137 : 28 Март 2024, 12:06:47 »
Как в этой формуле мог появицца минус,
Пустышка!
Энергия - векторная величина(!!!) ты это свои цыплятам передай, а у векторных величин, противоположные направления, отличаются знаком - МИНУС"
Думать - это самое лёгкое и приятное из всего на Свете.
           
Цирк уехал, а клоуны - остались!

Я всячески буду отстаивать своё мнение,
даже если оно миллион раз неверное,
но оно
                    МОЁ!

Оффлайн Иван Горемыкин

  • Местный мудрец
  • *****
  • Сообщений: 10522
  • Страна: ru
  • Рейтинг: +15/-30
  • Пришедший с мечом - от меча погибнет!
Re: Несколько строк о понятии "поле" в физике
« Ответ #138 : 28 Март 2024, 12:07:38 »
Теперь я верю,
А раньше верить тебе сосед запрещал или его жена?
Думать - это самое лёгкое и приятное из всего на Свете.
           
Цирк уехал, а клоуны - остались!

Я всячески буду отстаивать своё мнение,
даже если оно миллион раз неверное,
но оно
                    МОЁ!

Оффлайн VPD

  • Местный мудрец
  • *****
  • Сообщений: 10661
  • Страна: by
  • Рейтинг: +382/-729
  • Пол: Мужской
  • Василий Петрович Дорошев
    • Дорошев
Re: Несколько строк о понятии "поле" в физике
« Ответ #139 : 29 Март 2024, 10:12:34 »
 До  самого дремучего неуча, наконец дошло, что мой расчет  энергии при краш тесте верен, и обнаруженное двукратное превышение расчётного значения энергии (при суммировании одинаковых  скоростей автомобилей) от экспериментального - факт.
   Поскольку нарушения ЗСЭ не вероятно, то остаётся мой  вывод: неверно  суммирование скоростей сталкивающихся неупруго тел (нет в этом случае переносного движения!).
   Возникает главный вопрос: почему такое несоответствие?
   1. Виноват Путин VPD?
   2. Некорректный переход из ИСО дороги в ИСО тела?
   3.Особенность неупругого взаимодействия тел?
   Пытаюсь разобраться.
  Исключаю п.1 поскольку за VPD стоит эксперимент и  его никто не опроверг.
  Сильно сомневаюсь по поводу п.3.
   Подозреваю  п.2.  Но выкладок корректных пока не получил.
   Надежда на OSTa! Он в таких серьёзных случаях выручал.

Большой Форум

Re: Несколько строк о понятии "поле" в физике
« Ответ #139 : 29 Март 2024, 10:12:34 »
Loading...