Автор Тема: О моих мнимых ошибках - Каравашкин  (Прочитано 5573 раз)

0 Пользователей и 1 Гость просматривают эту тему.

Оффлайн ER*

  • Местный мудрец
  • *****
  • Сообщений: 14370
  • Страна: de
  • Рейтинг: +1675/-1151
  • Пол: Мужской
  • nemo curat 😈
Re: О моих мнимых ошибках - Каравашкин
« Ответ #40 : 25 Декабрь 2020, 18:58:16 »
Ну, у релятивистов что угодно может быть. Взять, например, зависимость скорости света от гравитационного потенциала
\[ c = c_0 \left( {1 + \frac{\Phi }{{c^2 }}} \right)\ \]
(А. Эйнштейн О влиянии силы тяжести на распространение света, т. 1, с. 172)
Не подскажете, какая с стоит в знаменателе правой части?  :)

Вам бы СТО асилить, куда Вы лезете в ОТО? )) Не скачите, аки блоха. )) Обсуждаем Вашу фундаментальную монографию http://sbkaravashkin.blogspot.com/2013/05/blog-post_4451.html

Там об СТО, а не об ОТО. Кстати, а есть электронная ссылка на А. Эйнштейн О влиянии силы тяжести на распространение света, т. 1, с. 172?
« Последнее редактирование: 25 Декабрь 2020, 19:01:05 от ER* »

Большой Форум

Re: О моих мнимых ошибках - Каравашкин
« Ответ #40 : 25 Декабрь 2020, 18:58:16 »
Загрузка...

Оффлайн Ilya Geller

  • _
  • Местный мудрец
  • *****
  • Сообщений: 11772
  • Страна: us
  • Рейтинг: +44/-45
  • Но я всёж-таки был наверху
Re: О моих мнимых ошибках - Каравашкин
« Ответ #41 : 25 Декабрь 2020, 19:04:20 »
Не имею возможности вмешаться в спор высокоученых мужей, поелику недовольство имею позицией обоих. Поскольку не признаю существований качеств, таких как «масса», «расстояний между», «скорость» и т.д. Что вышененазванные мужи злопакостно используют!
 9)^-
Но я всёж-таки был наверху
И меня не спихнуть с высоты!

Оффлайн Ilya Geller

  • _
  • Местный мудрец
  • *****
  • Сообщений: 11772
  • Страна: us
  • Рейтинг: +44/-45
  • Но я всёж-таки был наверху
Re: О моих мнимых ошибках - Каравашкин
« Ответ #42 : 25 Декабрь 2020, 19:07:20 »
С точки зрения электродинамики, гравитация это энергетический дефицит. ,G

А вот с моей кочки зрения гравитации не существует, но существует одна и единая сила взаимодействия для двух точек накопления. Так что не надо ля-ля и засорять сознание юношества! И девичества тоже.
 %^-!
Но я всёж-таки был наверху
И меня не спихнуть с высоты!

Оффлайн Ilya Geller

  • _
  • Местный мудрец
  • *****
  • Сообщений: 11772
  • Страна: us
  • Рейтинг: +44/-45
  • Но я всёж-таки был наверху
Re: О моих мнимых ошибках - Каравашкин
« Ответ #43 : 25 Декабрь 2020, 19:26:20 »
Если возникает сила - значит есть и источник энергии, который эту силу создаёт.

Источник... Ну в некотором смысле — да, есть источник. А именно — это сила инерции, как стремление точки накопления 1) либо стать материальной точкой, 2)  либо приобрести «стандартную плотность фотона», и продолжить существование как точка накопления.
Например электроны стремятся быть точками накопления. А критическая масса урана, при обжатии взрывом, частично становится материальными точками.
Но я всёж-таки был наверху
И меня не спихнуть с высоты!

Оффлайн Ilya Geller

  • _
  • Местный мудрец
  • *****
  • Сообщений: 11772
  • Страна: us
  • Рейтинг: +44/-45
  • Но я всёж-таки был наверху
Re: О моих мнимых ошибках - Каравашкин
« Ответ #44 : 25 Декабрь 2020, 20:14:09 »
При ускорении тел, возникающая сила инерционного сопротивления не равна силе воздействия. Если бы сила инерции была равна силе воздействия, то тело бы не сдвинулось с места.

Согласно ЗСЭ, при ускорении  тел, в атомах вещества генерируются индукционные токи и возникают энергетические потери. За счёт этих потерь энергии Fин. сопротивления всегда меньше силы воздействующей на ускоряемое тело.

За счёт этих энергетических потерь, тело не оказывает сопротивления равного силе воздействия, что и позволяет ускорять инерционное тело.

При ускорении инерционного тела, в атомах вещества генерируются токи фуко, возникают потери энергии, поэтому возникающая сила инерционного сопротивления меньше приложенной к телу силы и под действием этой внешней силы тело ускоряется.

Графиком функции при решения дифф. уравнений всех уровней и порядков будет экспоненциальная функция возникающих ЭМ энергетических потерь.

Говорю же я про внутренние отношения, когда нет «силы воздействия» извне, а есть сила взаимодействия между двумя точками накопления.
При этом инерция понимается как стремление либо приобрести, либо удержать некое состояние точкой накопления.
Ускорение традиционно привязано к расстоянию между, которого в Количественной системе нет. Есть только время включения одной точки в слой окрестности другой точки накопления. То есть ускорения в Количественной нет.
Энергии нет по той же причине.
До токов Фуко и прочего пока не добрался, прошу прощения. Может когда нибудь доберусь?
Потерь в Количественной не существует, фотоны/ кванты никуда не деваются. Возможно... Хотя это порции, возможно они и пропадают, не думал пока.
 -+?*
Но я всёж-таки был наверху
И меня не спихнуть с высоты!

Оффлайн Ilya Geller

  • _
  • Местный мудрец
  • *****
  • Сообщений: 11772
  • Страна: us
  • Рейтинг: +44/-45
  • Но я всёж-таки был наверху
Re: О моих мнимых ошибках - Каравашкин
« Ответ #45 : 25 Декабрь 2020, 21:25:10 »
Согласно ЗСЭ при энергетическом обмене энергия переходит от одних тел к другим, это своего рода социализм во вселенной.
Ежели гравитационное тело излучает в солнечную систему и во вселенную энергию ЭМВ, электрических и магнитных полей, то при распространении в космической среде  энергия ЭМВ и полей поглощается космической средой и неминуемо возникают энергетические потери,  поэтому обратно энергия из солнечной системы и из вселенной возвращается за минусом возникающих энергетических потерь.  Вот такая согласно ЗСЭ возникает асимметрия сил и энергии.

1. Это явление я называю «инерция»: все во Вселенной стремится либо стать материальными точками, либо остаться на «стандартной плотности фотона». Поэтому происходит возмущение слоев/ сфер орисферы (Лобачевский) точки накопления, известное в простонародье как «волна» — которое есть перераспределение излишних-недостающих фотонов/ «социализм во Вселенной» в вашей терминологии/ переход порции из одной окрестности в другую. По другому: все стремится к гармонии, а «темная материя»/ свет непрерывно вредительствует/ нарушает порядок.
2. Затухание есть дисперсия в орисфере фотонов/ порций, по ее слоям/ сферам. Потерь же не возникает, а происходит распределение фотонов по объему орисферы, что визуально воспринимается как потеря. Посмотрите на Инете сами, зависимость увеличения объема от приращения радиуса? Чуйства они обманчивы, да-с...
3. Возвращается же «обратно энергия из солнечной системы и из вселенной»... Ничто и никуда не девается и не пропадает! Т.е. Солнечного и любого другого света, фотонов не существует до тех пор пока они не начали существовать взаимодействуя, не менее двух фотонов во множестве. До тех пор они материальные точки и часть «темной материи» Астрономии.
Фотоны не существуют во Вселенной до тех пор пока они не начинают в ней существовать, что отражено в наличии постоянной G как в моей интерпретации закона Ньютона, так и оригинале.
4. Ассимитрии никакой не существует, все путем!
Фотоны, вполне (скорее всего может быть!) никуда не исчезают. То есть их дефекты и профициты не могут быть больше или меньше значения для материальной точки, не могут быть 2 для одного. Ведь если профицит-или-дефицит (формы и/ или содержания) фотона равен или больше их гипотетического состояния как материальных точек/ равен или больше 0я или 2х — тогда это будет уже —0 или больше чем два фотона? Или?
А может ли фотон быть в два или больше раз больше самого себя, быть отрицательным — как материальной точки? Но тогда получается что частица может быть одним дефектным фотоном? Вопросы, вопросы...
Но я всёж-таки был наверху
И меня не спихнуть с высоты!

Оффлайн Ilya Geller

  • _
  • Местный мудрец
  • *****
  • Сообщений: 11772
  • Страна: us
  • Рейтинг: +44/-45
  • Но я всёж-таки был наверху
Re: О моих мнимых ошибках - Каравашкин
« Ответ #46 : 25 Декабрь 2020, 21:33:11 »

 Любая среда при распространении ЭМВ и полей является линией задержки, поэтому в зависимости от параметров эпсилон и мю  необходимо время, чтобы луч света, фронт ЭМ импульса, энергия ЭМВ и полей распространилась на какое то расстояние, при этом согласно ЗСЭ возникают потери энергии, энергия поглощается этой средой и происходит т.н. рассеивание и затухание.

Я вам ответил — речь идет об орисфере Лобачевского, где ее объем меняется в зависимости от приращения радиуса; при этом радиус прирастает до бесконечности. Тогда речь идет об неучете математической реальности, об игнорировании то что все есть орисфера. И о злоупотреблении, непонимании проблемы граничности.

Ничто не пропадает и не теряется! Идет приращение радиуса орисферы в бесконечность, вот и все.
Но я всёж-таки был наверху
И меня не спихнуть с высоты!

Оффлайн Ilya Geller

  • _
  • Местный мудрец
  • *****
  • Сообщений: 11772
  • Страна: us
  • Рейтинг: +44/-45
  • Но я всёж-таки был наверху
Re: О моих мнимых ошибках - Каравашкин
« Ответ #47 : 25 Декабрь 2020, 22:08:26 »
я сторонник трёхмерного пространства и рассматриваю все физические явления и взаимодействия в едином времени, в трёх осях координат XYZ.

Вы главное не нервничайте, это скоро пройдет! По себе знаю.
 %*?
Есть Качественная, и есть Количественная системы координат. Одна используется для одного, другая для другого. Но они части одного целого.
Но я всёж-таки был наверху
И меня не спихнуть с высоты!

Оффлайн sergey_B_K

  • Местный мудрец
  • *****
  • Сообщений: 5084
  • Страна: ua
  • Рейтинг: +34/-34
  • Пол: Мужской
    • блог «Classical Science»
Re: О моих мнимых ошибках - Каравашкин
« Ответ #48 : 26 Декабрь 2020, 07:59:46 »
Вам бы СТО асилить, куда Вы лезете в ОТО? )) Не скачите, аки блоха. )) Обсуждаем Вашу фундаментальную монографию http://sbkaravashkin.blogspot.com/2013/05/blog-post_4451.html

Там об СТО, а не об ОТО. Кстати, а есть электронная ссылка на А. Эйнштейн О влиянии силы тяжести на распространение света, т. 1, с. 172?
Не съезжайте с вопроса, ER* формула для зависимости скорости света от гравитационного потенциала получена в рамках СТО. Удивлены? Почитайте вывод на стр. 168 прежде чем совать в ОТО.
К тому же, если глупость, так глупость хоть в СТО, хоть в ОТО. Не отмоетесь...
Так что самим релятивистам нужно хотя бы знать, что, собственно, они защищают. Но им это не нужно. Рация на танке и можно в академии лезть "заседать" со своим 3х3=1812.  */8$
Фальшивое никогда не бывает прочным. Пьер Буаст

Оффлайн Ilya Geller

  • _
  • Местный мудрец
  • *****
  • Сообщений: 11772
  • Страна: us
  • Рейтинг: +44/-45
  • Но я всёж-таки был наверху
Re: О моих мнимых ошибках - Каравашкин
« Ответ #49 : 26 Декабрь 2020, 08:10:40 »
Не съезжайте с вопроса, ER* формула для зависимости скорости света от гравитационного потенциала получена в рамках СТО. Удивлены? Почитайте вывод на стр. 168 прежде чем совать в ОТО.
К тому же, если глупость, так глупость хоть в СТО, хоть в ОТО. Не отмоетесь...
Так что самим релятивистам нужно хотя бы знать, что, собственно, они защищают. Но им это не нужно. Рация на танке и можно в академии лезть "заседать" со своим 3х3=1812.  */8$

Сергей, я понимаю что вы желчный, обозленный и судя по всему уже далеко немолодой типчик. Но не попытаетесь ли все ж изъяснять себя без оскорблений и колкостей? Задрали вы в шишки уже со своей немотивированной грубостью. Тем более что никаких заслуг, вынуждающих относится к вам с уважением, я в вас не замечаю.
Но я всёж-таки был наверху
И меня не спихнуть с высоты!

Оффлайн ER*

  • Местный мудрец
  • *****
  • Сообщений: 14370
  • Страна: de
  • Рейтинг: +1675/-1151
  • Пол: Мужской
  • nemo curat 😈
Re: О моих мнимых ошибках - Каравашкин
« Ответ #50 : 26 Декабрь 2020, 09:21:17 »
Не съезжайте с вопроса, ER* формула для зависимости скорости света от гравитационного потенциала получена в рамках СТО.

Да, хоть, в рамках классической механики. Где ссылка, Зин? ))

Оффлайн sergey_B_K

  • Местный мудрец
  • *****
  • Сообщений: 5084
  • Страна: ua
  • Рейтинг: +34/-34
  • Пол: Мужской
    • блог «Classical Science»
Re: О моих мнимых ошибках - Каравашкин
« Ответ #51 : 26 Декабрь 2020, 11:07:48 »
Да, хоть, в рамках классической механики. Где ссылка, Зин? ))
Статью на страницу 1-го тома собр. соч. Эйнштейна я дал. Дальше должны сами, а с заткнутыми ушами, кривыми глазами и отутюженными мозгами релятивистов мне говорить давно уже надоело.  +@-
Фальшивое никогда не бывает прочным. Пьер Буаст

Оффлайн ER*

  • Местный мудрец
  • *****
  • Сообщений: 14370
  • Страна: de
  • Рейтинг: +1675/-1151
  • Пол: Мужской
  • nemo curat 😈
Re: О моих мнимых ошибках - Каравашкин
« Ответ #52 : 26 Декабрь 2020, 12:02:17 »
Статью на страницу 1-го тома собр. соч. Эйнштейна я дал. Дальше должны сами,

С чего бы это? Это же Вы сами просили меня разобраться с выражением для скорости света в грав. поле. Вам и совершать необходимые телодвижения, а не мне. ))

Ну, у релятивистов что угодно может быть. Взять, например, зависимость скорости света от гравитационного потенциала
\[ c = c_0 \left( {1 + \frac{\Phi }{{c^2 }}} \right)\ \]
(А. Эйнштейн О влиянии силы тяжести на распространение света, т. 1, с. 172)

Не подскажете, какая с стоит в знаменателе правой части?  :)

Я сильно подозреваю, что  ссылка и это выражение тупо скопированы с сайтов таких же "спeцов" по ОТО как и Вы сами, а сами Вы статью в глаза не видели. )) Приведённое \( \displaystyle 1 + \frac{\Phi }{c^2 } \) больше похоже н коэффициент изменения частоты сигнала в приближении для слабых полей. Только было бы логичней \( \displaystyle 1 + \frac{\Delta\Phi }{c^2 } \)

Либо прямую ссылку в студию, либо вряд ли я Вам чем-то помогу в Вашей просьбе, либо одно из двух. ))
« Последнее редактирование: 26 Декабрь 2020, 18:52:20 от ER* »

Оффлайн ER*

  • Местный мудрец
  • *****
  • Сообщений: 14370
  • Страна: de
  • Рейтинг: +1675/-1151
  • Пол: Мужской
  • nemo curat 😈
Re: О моих мнимых ошибках - Каравашкин
« Ответ #53 : 26 Декабрь 2020, 13:52:15 »
Ещё отрывочек из Вашего могучего труда http://sbkaravashkin.blogspot.com/2013/05/blog-post_4451.html :

Для ... системы тел в исходной системе отсчёта этот закон (сохранения энергии - ER*) имеет вид

(3) 
В движущейся системе отсчёта данное выражение примет вид
 
(4)
Раскрывая скобки, получим
 
(5)   
Мы видим, что справа и слева добавляется по два слагаемых. Последнее слагаемое, как и в случае закона сохранения импульса, определяет энергию системы как целого. Вторые же, удвоенные слагаемые представляют собой закон сохранения импульса, и при его справедливости автоматически выполняется закон сохранения энергии. Таким образом, законы сохранения связаны друг с другом, и выполнение/невыполнение одного закона влечёт выполнение/невыполнение другого закона.



Вот, умеете, кода захотите. )) А почему не провели аналогичные рассуждения в рамках релятивистских законов сохранения? Вы бы сразу пришли к аналогичному заключению. Давайте повторим Ваши рассуждения типа "слово в слово", но для релятивизма:

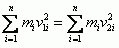
Для системы тел в исходной системе отсчёта релятивистский закон сохранения энергии имеет вид

\( \displaystyle \sum\limits_i\frac{m_ic^2}{\sqrt{1-v{}_{1i}^2/c^2}}   = \sum\limits_i\frac{m_ic^2}{\sqrt{1-v{}_{2i}^2/c^2}}  \; ;\;\;(3) \)

В движущейся системе отсчёта данное выражение примет вид (с учётом релятивистского сложения скоростей)


\( \displaystyle \sum\limits_i\frac{m_ic^2}{\sqrt{1-(\frac{v_{1i} + V}{1+v_{1i}V/c^2})^2/c^2}}   = \sum\limits_i\frac{m_ic^2}{\sqrt{1-(\frac{v_{2i} + V}{1+v_{2i}V/c^2})^2/c^2}} \; ;\;\;(4) \)

После несложных алгебраических преобразований, получим:

\( \displaystyle \sum\limits_i \frac{m_{i}~c^2+m_{i}~v_{1i}~V}{\sqrt{1-\frac{V^2}{c^2}}~\sqrt{1-\frac{v_{1i}^2}{c^2}}} = \sum\limits_i \frac{m_{i}~c^2+m_{i}~v_{2i}~V}{\sqrt{1-\frac{V^2}{c^2}}~\sqrt{1-\frac{v_{2i}^2}{c^2}}}\; ;\;\; \)

\( \displaystyle \sum\limits_i \frac{m_{i}~c^2}{\sqrt{1-\frac{v_{1i}^2}{c^2}}}+\sum\limits_i \frac{m_{i}~v_{1i}~V}{\sqrt{1-\frac{v_{1i}^2}{c^2}}} = \sum\limits_i \frac{m_{i}~c^2}{\sqrt{1-\frac{v_{2i}^2}{c^2}}}+\sum\limits_i \frac{m_{i}~v_{2i}~V}{\sqrt{1-\frac{v_{2i}^2}{c^2}}}\; ;\;\;(5) \)

Мы видим, что первые слагаемые в обеих частях уравнения представлают собой закон сохранения энергии, и могут быть сокращены. Вторые слагаемые (при сокращении на V) -

\[ \displaystyle \sum\limits_i \frac{m_{i}~v_{1i}}{\sqrt{1-\frac{v_{1i}^2}{c^2}}} = \sum\limits_i \frac{m_{i}~v_{2i}}{\sqrt{1-\frac{v_{2i}^2}{c^2}}}\; ;\;\; \]

- представляют собой закон сохранения релятивистского импульса, и при его справедливости автоматически выполняется релятивистский закон сохранения энергии. Таким образом, законы релятивистского сохранения связаны друг с другом, и выполнение/невыполнение одного закона влечёт выполнение/невыполнение другого закона.


~~~~~~~~~~~~~~~~~~~~~~~~~~~~~~~~~~~~~~~~~~~~~~~~~~~~~~~~~~~~~~

Внезапно, да? )) Внезапно, Ваши рассуждения в рамках классики ничем не отличаются от аналогичных рассуждений в рамках "релятивизма". Как тебе Вам такое, Илон Маск Сергей Борисович? ))
« Последнее редактирование: 26 Декабрь 2020, 14:52:54 от ER* »

Оффлайн sergey_B_K

  • Местный мудрец
  • *****
  • Сообщений: 5084
  • Страна: ua
  • Рейтинг: +34/-34
  • Пол: Мужской
    • блог «Classical Science»
Re: О моих мнимых ошибках - Каравашкин
« Ответ #54 : 27 Декабрь 2020, 08:32:57 »
С чего бы это? Это же Вы сами просили меня разобраться с выражением для скорости света в грав. поле. Вам и совершать необходимые телодвижения, а не мне. ))

Я сильно подозреваю, что  ссылка и это выражение тупо скопированы с сайтов таких же "спeцов" по ОТО как и Вы сами, а сами Вы статью в глаза не видели. )) Приведённое \( \displaystyle 1 + \frac{\Phi }{c^2 } \) больше похоже н коэффициент изменения частоты сигнала в приближении для слабых полей. Только было бы логичней \( \displaystyle 1 + \frac{\Delta\Phi }{c^2 } \)

Либо прямую ссылку в студию, либо вряд ли я Вам чем-то помогу в Вашей просьбе, либо одно из двух. ))
Вот... как всегда  8*@~. Откройте страницу и убедитесь, релятивистский бурсак...  ./.
Фальшивое никогда не бывает прочным. Пьер Буаст

Оффлайн alexand

  • Членкор приматов
  • Местный мудрец
  • *****
  • Сообщений: 52801
  • Страна: fr
  • Рейтинг: +609/-1925
  • Пол: Мужской
Re: О моих мнимых ошибках - Каравашкин
« Ответ #55 : 28 Декабрь 2020, 10:04:02 »
Тов.Каравашкин,.вы.кому.присуждаете.победу
в.моем.логическом.Ольберс-бэттле.с.ЕРом?

Он.бежал.с.поля.боя.и.не.появляется.

Ваш.бэттл.я.оценить.не.могу,.т.к.я.против.обоих,.воздержался.
Я.вообще.ротивник.и.релятивизма.и.антирелятивизма.
« Последнее редактирование: 28 Декабрь 2020, 10:07:45 от alexand »

Оффлайн sergey_B_K

  • Местный мудрец
  • *****
  • Сообщений: 5084
  • Страна: ua
  • Рейтинг: +34/-34
  • Пол: Мужской
    • блог «Classical Science»
Re: О моих мнимых ошибках - Каравашкин
« Ответ #56 : 28 Декабрь 2020, 11:12:31 »
Экс Игоря Мисюченко:
ЭДС вдоль скорости движения проводника
И что тут думать? Давно не только проведен эксперимент, но и промоделировано математически без всяких продольных магнитных полей
Каравашкин С.Б., Каравашкина О.Н. Опыт 4. Индукция составных магнитов
Уши затыкаете, чтобы не слышать? Затыкайте дальше...  ./.
Фальшивое никогда не бывает прочным. Пьер Буаст

Оффлайн sergey_B_K

  • Местный мудрец
  • *****
  • Сообщений: 5084
  • Страна: ua
  • Рейтинг: +34/-34
  • Пол: Мужской
    • блог «Classical Science»
Re: О моих мнимых ошибках - Каравашкин
« Ответ #57 : 28 Декабрь 2020, 11:38:51 »
Тов.Каравашкин,.вы.кому.присуждаете.победу
в.моем.логическом.Ольберс-бэттле.с.ЕРом?

Он.бежал.с.поля.боя.и.не.появляется.

Ваш.бэттл.я.оценить.не.могу,.т.к.я.против.обоих,.воздержался.
Я.вообще.ротивник.и.релятивизма.и.антирелятивизма.
Ну, как сами понимаете, не мне судить, поскольку одна из сторон баттла. Вы же, как противник релятивизма и антирелятивизма, этим уже показали своё негативное отношение и к моей, и к ER* позиции. Логика-с.
Вообще-то я не могу себя назвать антирелятивистом в ныне привычном смысле этого слова, поскольку антирелятивисты, по сути, те же релятивисты, которые за своими кабацкими копиями пытаются спрятать рога и копыта самого релятивизма. Я последовательный сторонник классической физики и достаточно уже развил эту концепцию на область околосветовых скоростей и динамику процессов. А релятивистов с антирелятивистами я просто отодвигаю на обочину, в их собственное болото, где им и место....  :)
Остался встречный вопрос: какое у Вас направление? Как бы не оказалось, что Вы тоже пытаетесь спрятать рога и копыта релятивистов за фетишем формул. Озвучьте, плз...  :)
Фальшивое никогда не бывает прочным. Пьер Буаст

Оффлайн alexand

  • Членкор приматов
  • Местный мудрец
  • *****
  • Сообщений: 52801
  • Страна: fr
  • Рейтинг: +609/-1925
  • Пол: Мужской
Re: О моих мнимых ошибках - Каравашкин
« Ответ #58 : 28 Декабрь 2020, 11:51:05 »
Сергей,.моя.позиция---эмпириокритицизм,.охаянный.вэлыким.Лениным.

Т.е,---это.обобщение.эмпирики,.экспериментальных.данных.

СТО.строится.не.на.экспериментах,.а.на.мысленных.экспериментах,.т.е.домыслах
о.несуществующем.в.реальности.

Я.математически.обобщенно.вывел.Лоренц-фактор.без.всякого.Эйнштейна,
исходя.из.экспериментально.приближенно.установленной.еще.100.лет.назад
асимптотической.зависимости.энергии.частиц.от.скорости
на.субсветовых.скоростях.
.
Опровергать.мысленный.эксперимент.с.позиций.допущения.такого.эксперимента
я.считаю.глупым.
« Последнее редактирование: 28 Декабрь 2020, 11:58:02 от alexand »

Оффлайн sergey_B_K

  • Местный мудрец
  • *****
  • Сообщений: 5084
  • Страна: ua
  • Рейтинг: +34/-34
  • Пол: Мужской
    • блог «Classical Science»
Re: О моих мнимых ошибках - Каравашкин
« Ответ #59 : 28 Декабрь 2020, 11:58:48 »
Сергей,.моя.позиция---эмпириокритицизм,.охаянный.вэлыким.Лениным.

Я.математически.обобщенно.вывел.Лоренц-фактор.без.всякого.Эйнштейна.
Опровергать.мысленный.ээксперимент.с.позиций.допущения.такого.эксперимента
я.считаю.глупым.
Стоп... Вы математически вывели лоренц-фактор и заявляете, что строго придерживаетесь эксперимента? А это как? У Вас есть эксперименты именно по лоренц-фактору?
Между тем, в классической физике этот самый лоренц-фактор появляется вполне естественным путём и у меня, и до меня. Но в каждом случае имеются свои особенности, не позволяющие тыкать его во все дырки, как релятивисты. Так что новизны в этом нет.  А вот как Вы его получили, в каком виде? Вот это и определяет кто Вы, имхо. Вы привержены преобразованиям Лоренца?  ::)
Фальшивое никогда не бывает прочным. Пьер Буаст

Большой Форум

Re: О моих мнимых ошибках - Каравашкин
« Ответ #59 : 28 Декабрь 2020, 11:58:48 »
Loading...