Чем дальше углубляюсь в Ваш
фундаментальный труд,
Сергей Борисович, тем больше вопросов. Вот ещё один, помогите разобраться, пожалуйста. ))

(8)

(10)
По поводу (10) Вы пишете:
При внутреннем взаимодействии величина суммарного импульса неизбежно изменится за счёт знаменателей в слагаемых.А у меня не получается, ну, чтобы импульс "неизбежно изменился". Что я делаю не так? ))
Предположим (так, чисто для прикола), что релятивистский импульс сохраняется.
тогда из Вашей (10) следует
\( \displaystyle \sum\limits_i\frac{{m_{i0}}v{}_{1i}}{\sqrt {1-v_{1i}^2/c^2}} = \sum\limits_i\frac{{m_{i0}}v{}_{2i}}{\sqrt {1-v_{2i}^2/c^2}} \; ;\;\; \) (ЗСИ)
Давайте, перейдём в движущуюся со скоростью V систему, и оттуда посмотрим на нашу систему из и i тел.Очевидно, что теперь скорости тел изменятся согласно Вашей (8):
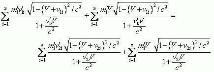
\( \displaystyle v{}_{ij} = \frac{v{'}_{ij} + V}{1+v{'}_{ij}V/c^2} \; ;\;\;(8) \)Теперь подставим это в Вашу (10)
\( \displaystyle \sum\limits_i\frac{m_{i0}\frac{v{'}_{1i} + V}{1+v{'}_{1i}V/c^2}}{\sqrt{1-(\frac{v{'}_{1i} + V}{1+v{'}_{1i}V/c^2})^2/c^2}} = \sum\limits_i\frac{m_{i0}\frac{v{'}_{2i} + V}{1+v{'}_{2i}V/c^2}}{\sqrt{1-(\frac{v{'}_{2i} + V}{1+v{'}_{2i}V/c^2})^2/c^2}}\; ;\;\; (10а) \)Поскольку
\( \displaystyle \frac{\frac{u + V}{1+uV/c^2}}{\sqrt{1-(\frac{u + V}{1+uV/c^2})^2/c^2}} = \frac{u+V}{\sqrt{1-V^2/c^2}\sqrt{1-u^2/c^2}}\; ;\;\; \)то имеем
\( \displaystyle \sum\limits_i \frac{m_{i0}(v{'}_{1i}+V)}{\sqrt{1-\frac{V^2}{c^2}}~\sqrt{1-\frac{v{'}_{1i}^2}{c^2}}} = \sum\limits_i \frac{m_{i0}(v{'}_{2i}+V)}{\sqrt{1-\frac{V^2}{c^2}}~\sqrt{1-\frac{v{'}_{2i}^2}{c^2}}}\; ;\;\; \)\( \displaystyle \sum\limits_i \frac{m_{i0}(v{'}_{1i}+V)}{~\sqrt{1-\frac{v{'}_{1i}^2}{c^2}}} = \sum\limits_i \frac{m_{i0}(v{'}_{2i}+V)}{~\sqrt{1-\frac{v{'}_{2i}^2}{c^2}}}\; ;\;\; \)\( \displaystyle \sum\limits_i \frac{m_{i0}v{'}_{1i}}{~\sqrt{1-\frac{v{'}_{1i}^2}{c^2}}} +\sum\limits_i \frac{m_{i0}V}{~\sqrt{1-\frac{v{'}_{1i}^2}{c^2}}}=\sum\limits_i \frac{m_{i0}v{'}_{2i}}{~\sqrt{1-\frac{v{'}_{2i}^2}{c^2}}} +\sum\limits_i \frac{m_{i0}V}{~\sqrt{1-\frac{v{'}_{2i}^2}{c^2}}}\; ;\;\;(666) \)Ранее в (ЗСИ) мы (так, чисто для прикола) предположили, что релятивистский импульс сохраняется, а, значит, левые слагаемые в обеих частях нашего (666) равны:
\( \displaystyle \sum\limits_i \frac{m_{i0}v{'}_{1i}}{~\sqrt{1-\frac{v{'}_{1i}^2}{c^2}}} =\sum\limits_i \frac{m_{i0}v{'}_{2i}}{~\sqrt{1-\frac{v{'}_{2i}^2}{c^2}}} \; ;\;\; \)Убираем эти части из (666), и получаем
\( \displaystyle \sum\limits_i \frac{m_{i0}V}{~\sqrt{1-\frac{v{'}_{1i}^2}{c^2}}}=\sum\limits_i \frac{m_{i0}V}{~\sqrt{1-\frac{v{'}_{2i}^2}{c^2}}}\; ;\;\;(666a) \)или, сокращая на V, и умножив на c^2, -
\( \displaystyle \sum\limits_i \frac{m_{i0}c^2}{~\sqrt{1-\frac{v{'}_{1i}^2}{c^2}}}=\sum\limits_i \frac{m_{i0}c^2}{~\sqrt{1-\frac{v{'}_{2i}^2}{c^2}}}\; ;\;\;(ЗСЭ) \)T.e. мы
предположили (так, чисто для прикола), что выполняется сохранение релятивистского импульса (ЗСИ), и получили
необходимое условие такого выполнения (ЗСЭ). Т.е., релятивистский закон сохранения импульса работает для произвольных скоростей v и V,
если работает релятивистский закон сохраненя энергии (ЗСЭ).
Вот Вы пишете:
Если же закон сохранения импульса не выполняется, то не стоит ожидать и выполнение закона сохранения энергии ни в одном, ни в трёх измерениях.А мы ведь взяли
Ваши же (sic!) (8) и (10), и никакой другой отсебятины, и из них выходит, что релятивистский закон сохранения импульса работает , если работает релятивистский закон сохраненя энергии (ЗСЭ).
Как же так?
Ночь перед [католическим] Рождеством или Вечера на хуторе близ Диканьки какие-то. )) Согласно
Вашим же (sic!) (8) и (10), получается что законы сохранения в релятивизме
выполняются, а Вы утверждаете, что нет. ???
Что я делаю не так? ))