Более того, вы не придумали ничего нового, ваша формула легко выводится из общей формулы для силы Лоренца

И уравнений Максвелла, которые лучше для этого записать в интегральной форме
http://www.femto.com.ua/articles/part_1/2141.html
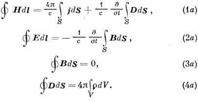
Рассмотрим уравнение (2а)
в частном случае1)
контура в виде окружности (электрон в бетатроне движется по окружности)
2) Это приводит к
частному случаю поля: Е здесь направлено по касательной к окружности и постоянно, иначе электрон не будет вращаться по окружности.
3)
Однородное магнитное поле перпендикулярное контуруИначе в формуле должен появиться угол и среднее по площади поле
Если учесть все три ограничения, то можно вынести Е и В из интегралов, и формула (2а) приобретает простой вид (интеграл слева даст длину окружности, а справа - площадь круга)
Е*2пR = - \(\frac{1}{c}\frac{dB}{dt}\)*пR
2Откуда и получаем
Е = - \(\frac{R}{2c}\frac{dB}{dt}\)
Это и есть выражение для вихревого электрического поля в данном случае.
Подставив, это в формулу силы Лоренца (1)
мы получим частное выражение для нее в случае выполнение ограничений (1-3). Это и есть то, что вы записываете. Более того, требование постоянства контура (R) добавляет к этому еще и условие 4) на изменение по времени магнитного поля - так называемое бетатронное условие.
При нарушении этих условий, т.е. при произвольном движении электрона, произвольных Е и В ваша формула будет неверна! Именно поэтому выражение для силы Лоренца пишут именно в виде (1), который общий и верен всегда!! а вовсе не потому, что никто не догадался сделать это так как выКстати, два замечания
1) уравнение (2а) Максвелла есть ни что иное, как общий вид закона электромагнитной индукции Фарадея ЭДС= -dФ/dt, который изучается в школе. В книге Быстрова про ускорители поле получено как раз через эту формулу, поскольку для данного частного случая она верна.
2) Вы пропустили, что у Быстрова явным образом написано на стр. 92 :
"Причиной ускорения электрона является сила, действующая на него со стороны электрического поля" Это вторая причина, по которой все пишут силу Лоренца в виде (1). Поскольку это отражает физику процесса: электрон разгоняет именно электрическое поле.